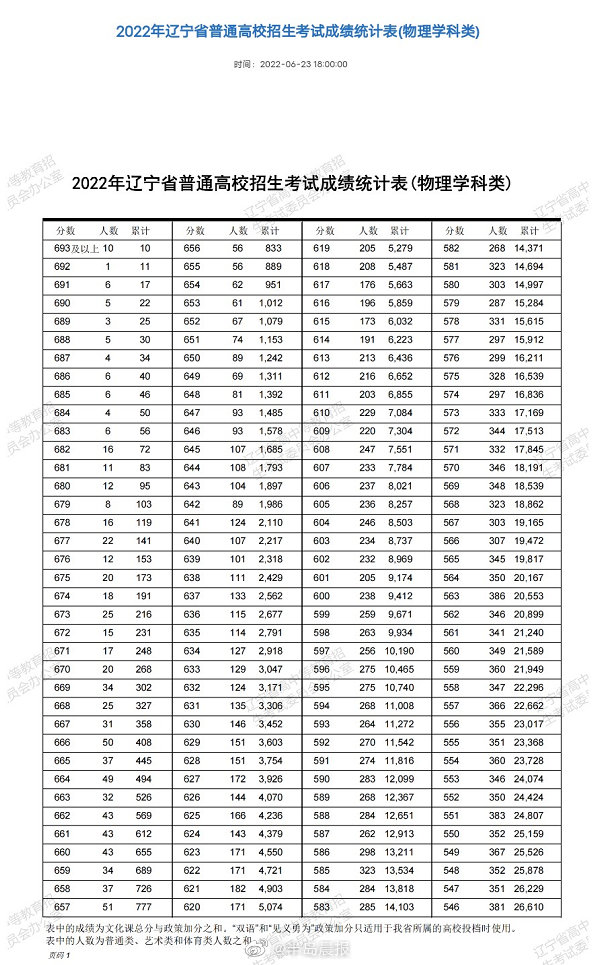
為了幫助大家全面了解2022年遼寧高考成績排名情況,下面我們為大家整理了2022年遼寧高考一分一段表,這樣,大家就能對自己2022的高考成績有更直觀的了解,知道自己高考成績排名是怎樣的?在遼寧處于什么位置,為接下來的志愿填報做到心里有數。![]() 點擊下一頁,了解2021年遼寧高考一分一段表 2022年遼寧高考一分一段表
為了讓大家對遼寧高考成績、分數線有更加全面的了解,下面為大家匯總各地2022高考分數線,如果大家想要了解遼寧2022高考分數線,直接點擊遼寧即可。
2022年遼寧高考一分一段表就為大家介紹到這里,更多關于2022年遼寧高考分數線、成績查詢時間及入口、志愿填報時間及入口、錄取結果查詢入口等內容,請點擊訪問:高考欄目。 推薦內容: 2022年高考志愿填報技巧 今年高考考生多少人? 2022年各地高考分數線一覽表 2022高考志愿填報流程圖解 2022年高考真題及答案大全 點擊下一頁,了解2021年遼寧高考一分一段表 |











